
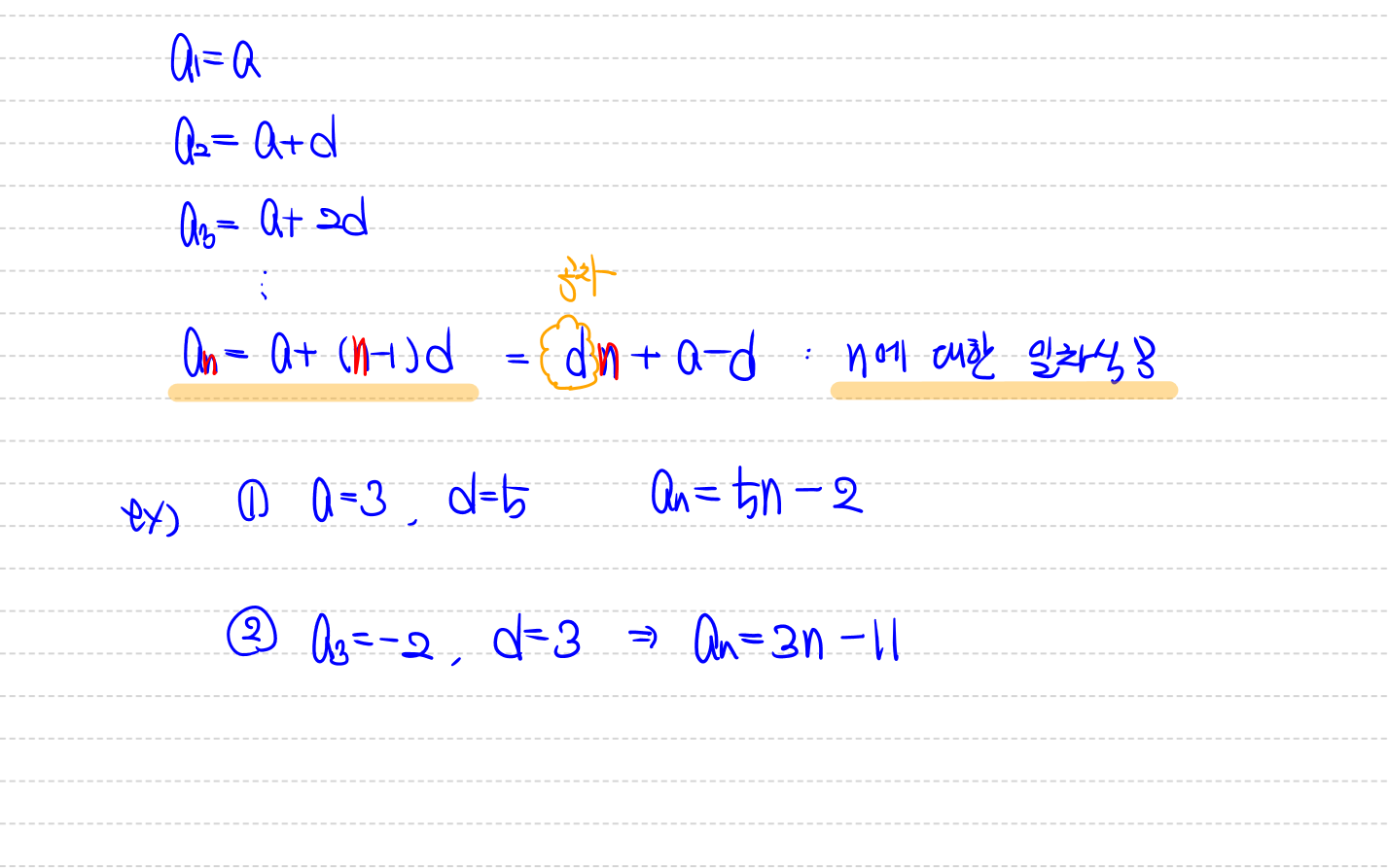
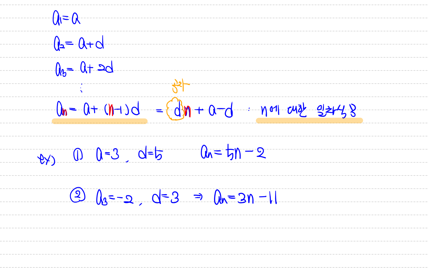
일반적으로 등차수열의 일반항은 첫번째항과 공차를 이용하여 표현합니다. 첫번째항과 공차를 안다면 등차수열의 모든 것을 다 알수 있습니다. 하지만 등차수열의 일반항을 구하려면 반드시 첫번째항을 알아야할 필요는 없습니다. 등차수열의 일반항은 n에 대한 일차식이고, n의 계수가 공차라는 구조를 이해하신다면 좀 더 빠르게 등차수열의 일반항을 구할수 있습니다. 이는 등차수열 전반에 걸쳐 적용되며 특히 등차수열의 일반항과 일반합과의 관계를 묻는 문제를 이해하는데 큰 도움을 주는 중요한 내용입니다.
'개념정리 및 심화 > 개념정리 및 심화' 카테고리의 다른 글
| 점과 직선사이의 거리의 최댓값 (0) | 2021.06.10 |
|---|---|
| 등차수열의 합 공식의 구조분석 - 상수항이 없는 n에 대한 이차식 (0) | 2021.05.28 |
| 거리의 제곱의 합의 최솟값 - 좌표의 평균 (0) | 2021.05.27 |
| 삼차함수의 성질 - 교점에서의 접선의 기울기 (0) | 2021.05.21 |
| 이차방정식의 근의 분리 - 유형 두가지로만 정리하세요. (0) | 2021.05.18 |
댓글